Soal Matematika Faktorial
Faktorial ditulis sebagai n. Diantara beberapa materi dalam matematika materi peluang mungkin menjadi salah satu materi favorit kamu.
Faktorial Matematika Beserta Contoh Soal Dan Jawaban Pinterpandai
Namun dipertemuan sebelumnya kami telah membahas mengenai contoh soal perbandingan.
Soal matematika faktorial. Lazimnya lambang faktorial ini dengan tanda seru. Belajar faktorial dengan video dan kuis interaktif. Pengertian faktorial dalam matematika adalah perkalian bilangan bulat hingga satu.
Pada percobaan dengan menggunakan rancangan faktorial lebih dari satu faktor rancangan acak kelompok menjadi rancangan lingkungan. Faktorial ditulis sebagai n. Faktorial biasa digunakan untuk menghitung banyaknya susunan yang dapat dibentuk dari sekumpulan benda tanpa memperhatikan urutannya.
Dalam matematika faktorial dari bilangan asli n adalah hasil perkalian antara bilangan bulat positif yang kurang dari atau sama dengan n. Dapatkan pelajaran soal rumus faktorial lengkap di wardaya college. Dalam matematika faktorial dari bilangan asli n adalah hasil perkalian antara bilangan bulat positif yang kurang dari atau sama dengan nfaktorial ditulis sebagai n.
Yi j k hasil pengamatan utk faktor a taraf ke i faktor b taraf ke j pada ikelompok ke k m nilai teng. Baiklah langsung aja mari kita simak bersama penjelasannya berikut ini. Pt zenius education 2018 logo merek dan isi website ini adalah hak cipta pt zenius education.
Contoh soal permutasi materi makalah pembahasan kali mengenai contoh soal permutasi beserta pengertian faktorial rumus unsur dan pembahasannya. Faktorial dari bilangan asli n adalah hasil perkalian antara bilangan bulat positif yang kurang dari atau sama dengan n. 1 empat buah lukisan a b c dan d akan dipajang berurutan pada sebuah dinding pameran.
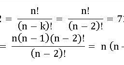
2model matematika yijk p ki pj pk pj x pk eijk keterangan. Adalah bernilai 7654321 5040. Sebagai contoh nilai dari adalah 7.
Dan disebut n faktorial. Ya dengan materi ini kamu bisa dengan jelas memperkirakan peluang dan melakukan penyusunan angka nomor atau bilangan tertentu. Dapatkan soal dan rumus faktorial permutasi kombinasi.
Dan disebut n faktorial tanda disebut dengan notasi faktorial. Dan disebut n faktorialsecara umum dapat dituliskan sebagai.
Pelajaran Soal Rumus Faktorial Wardaya College
Contoh Soal Dan Pembahasan Mengenai Faktorial Marthamatika
Matematika Kelas 12 Aturan Perkalian Dan Faktorial Dalam Teori Peluang
Contoh Soal Faktorial Sma Kelas 11 Iteksains
Menyelesaikan Soal Faktorial Bentuk Pecahan
Pelajaran Soal Rumus Faktorial Wardaya College
Pelajaran Soal Rumus Faktorial Permutasi Kombinasi Wardaya
Pengertian Kaidah Pencacahan Aturan Perkalian Faktorial Contoh
Faktorial Permutasi Dan Kombinasi Catatan Kuliah
Contoh Soal Dan Pembahasan Mengenai Faktorial Marthamatika
Buktikan Notasi Faktorial Soal Request
Pelajaran Soal Rumus Faktorial Wardaya College
Untung Soal Nomer 6 Itu Gimana Ya Terimakasihnote Matematika
Cara Mencari Nilai Faktorial Dan Contoh Soalnya
Materi Permutasi Dan Kombinasi Beserta Contohnya Komunitas Blogger
Soal Dan Pembahasan Matematika Permutasi 1 4 Istana Mengajar
Cara Mengerjakan Dari Soal Faktorial Ini Bagaimna Brainly Co Id
Pengertian Kaidah Pencacahan Aturan Perkalian Faktorial Contoh
Contoh Soal Faktorial Suatu Bilangan Asli
Soal Dan Pembahasan Permutasi Kombinasi Dan Peluang 1 6 Istana
Cara Mencari Nilai Faktorial Dan Contoh Soalnya
Aturan Perkalian Aturan Penjumlahan Dan Faktorial Konsep
Menyelesaikan Soal Faktorial Bentuk Pecahan
Contoh Soal Tentang Faktorial Permutasi Dan Kombinasi Brainly Co Id
3 Contoh Soal Faktorial Dan Penyelesaiannya Youtube
Contoh Soal Faktorial Permutasi Dan Penyelesaiannya
Pengantar Matematika Soal Dan Pembahasan 7 Bab Ii Faktorial
Soal Dan Pembahasan Permutasi Kombinasi Dan Peluang 1 6 Istana
Matematika Kelas 12 Aturan Perkalian Dan Faktorial Dalam Teori Peluang
Contoh Soal Permutasi Kombinasi Siklis Faktorial Rumus Dan Jawaban
Faktorial Pengertian Dan Rumus
Contoh Soal Faktorial Dan Penyelesaiannya Soalfismat Com
Ada Yang Bisa Menjelaskan Cara Dari Contoh Soal Notasi Faktorial
Belajar Dan Berbagi Menghitung Soal Matematika Faktorial Dengan
Faktorial Matematika Beserta Contoh Soal Dan Jawaban Pinterpandai
Soal Dan Solusi Menghitung Faktorial Di Python Kode Python
Kombinasi Pada Peluang Dan Contohnya Konsep Matematika Koma
Aturan Pencacahan Dan Permutasi
Contoh Soal Faktorial Suatu Bilangan Asli
Matematika Kelas 12 Aturan Perkalian Dan Faktorial Dalam Teori Peluang
Cermati Baik Baik Coba Selesaikan Soal Matematika Ini
Faktor Persekutuan Terbesar Cara Sederhana Faktorial Dan Contoh Soal
2 Peluang L A S Kaidah Pencacahan Dan Faktorial Hanya Soal
Contoh Program Sederhana Dengan Bahasa C Mencari Faktorial
Peluang Faktorial Dan Permutasi Rev Flv
Faktorial Instagram Posts Photos And Videos Instazu Com
Terlihat Mudah Namun Bisakah Kamu Selesaikan Soal Matematika Ini
Notasi Faktorial N N N 1 N 2 Definisi 0 1 Ppt Download
Pengertian Kaidah Pencacahan Aturan Perkalian Faktorial Contoh
Teori Peluang Materi Contoh Soal Pembahasan
Rumus Limit Matematika Fungsi Tak Hingga Contoh Soal
Aturan Pencacahan Matematika Kelas 11 Quipper Blog
Soal Matematika Ini Menipu Banget Bisa Menyelesaikan
Matematika Pembahasan Dan Contoh Soal Permutasi
Flowchart Faktorial Blog Pencari Cahaya Ilahi
Statistik Matematika Beberapa Teknik Pembilang Dan Aturan Perkalian P
Matematika Permutasi Dan Kombinasi Rumus Aturan Perkalian
Teori Peluang Materi Contoh Soal Pembahasan
Cermati Baik Baik Coba Selesaikan Soal Matematika Ini
15 Contoh Soal Dan Pembahasan Materi Peluang Kejadian Matematika
Deret Matematika Series Kalkulus Beserta Contoh Soal Dan Jawaban
Terlihat Mudah Namun Bisakah Kamu Selesaikan Soal Matematika Ini
Soalfismat Com Laman 3 Penyelesaian Soal Fisika Dan Matematika
Makalah Matematika Sekolah 2 Aturan Perkalian Dan Permutasi Pdf
Bank Soal Dan Pembahasan Matematika Dasar Kaidah Pencacahan Aturan
Konsep Matematika Koma Aturan Perkalian Aturan Penjumlahan Dan
Peluang Kaidah Pencacahan Permutasi Dan Kombinasi Rumus Contoh Soal
Uji Kompetensi 1 1 No 4 Induksi Matematika Kelas 11 Hal 13 Buktikan Kebenaran Formula Faktorial
Kelas11 Matematika Ipa Nugroho Maryanto By S Van Selagan Issuu
Standar Kompetensi 1 Menggunakan Aturan Statistika Kaidah
Contoh Soal Permutasi Dan Pembahasannya
Contoh Soal Faktorial Suatu Bilangan Asli
Bab2 Docx Rencana Pelaksanaan Pembelajaran Rpp Nama Sekolah Mata
Pdf Rpp Matematika Smk Teknologi Kelas Xii Erlangga Pdf Lela A
Contoh Soal Dan Pembahasan Tentang Peluang Sma Ajar Hitung
2 Peluang L A S Kaidah Pencacahan Dan Faktorial Hanya Soal
Bilanganasli Hash Tags Deskgram
A Aturan Perkalian Permutasi Dan Kombinasi Dalam Nbsp 56
Cara Mencari Nilai Faktorial Dan Contoh Soalnya
Kelipatan Persekutuan Terkecil Cara Aimyaya Cara Semua Cara
Contoh Soal Dan Pembahasan Tentang Peluang Sma Ajar Hitung
Belajar Pembahasan Soal Matematika Dasar Sbmptn Yuk
Kaidah Pencacahan Materi Permutasi Kombinasi Peluang Soal














0 Response to "Soal Matematika Faktorial"
Post a Comment